ĐÔI LỜI NHẮN NHỦ
Các kiến thức mình trình bày đều dựa trên cơ sở khoa học (có trích dẫn) và kinh nghiệm cá nhân của mình khi làm thí nghiệm, mình cố gắng trình bày rõ ràng nhất có thể và mong các bạn tiếp thu một cách linh hoạt và có chọn lọc, tránh tình trạng rập khuôn.
Ngoại trừ phần "Nguyên tắc" mình sẽ viết theo văn phong khoa học, hầu hết các phần còn lại mình sẽ viết theo văn phong nói thông thường vì mong muốn truyền đạt thông tin đến các bạn một cách chi tiết và dễ hiểu nhất.
Trong bài viết này, mình hướng dẫn sử dụng đĩa 96 giếng để làm thí nghiệm khảo xác khả năng bắt gốc tự do DPPH, và dùng máy ELISA để đọc kết quả OD, do đó thể tích các thành phần sử dụng rất nhỏ. Nếu các bạn sử dụng ống nghiệm và máy đo quang thông thường để làm thí nghiệm, có thể nhân khối lượng và thể tích của các thành phần lên 3 – 5 lần nhé
Cách pha hóa chất
Tiến hành phản ứng
Công thức tính kết quả
Các lưu ý cơ bản
Tài liệu tham khảo
NGUYÊN TẮC
Phương pháp xác định khả năng bắt gốc tự do DPPHᐧ (2,2-diphenyl-1-picryl-hydrazyl) được phát triển bởi Blois [1]. Phân tích này dựa trên sự thay đổi màu của dung dịch DPPH. DDPH﮲ là gốc tự do bền màu tím, có điện tử chưa ghép đôi trên nguyên tử nito tạo thành hệ thống liên hợp điện tử. Electron tự do của phân tử nito trong DDPH﮲ khi bắt cặp với gốc hydro từ chất kháng oxy hóa làm mất đi màu tím đặc trưng của gốc tự do DDPH﮲ trong dung dịch methanol. Khả năng khử gốc DDPH﮲ của một chất kháng oxy hóa thể hiện ở mức độ làm giảm màu của dung dịch DDPH, được xác định bằng cách đo độ hấp thu quang ở bước sóng λmax = 517 nm. Dựa vào đường chuẩn xác định giá trị IC50 [2].
1. Pha dung dịch DPPH
Cân 0.0056
g DPPH hòa trong 5mL Methanol tinh khiết → dung dịch DPPH 30mM (stock 10X), bảo quản nhiệt độ lạnh, bọc kín bằng giấy bạc.
Khi làm
thí nghiệm, pha loãng stock 10X → 1X (3mM)
2. Pha mẫu cần phân tích
Đối với mẫu dạng rắn (cao chiết/ bột):
-
Xác định dung môi để hòa tan mẫu. Lấy
một ít mẫu, hòa trong các dung môi khác nhau (nước, methanol, ethanol, acetone,
DMSO,… ). Quan sát lựa chọn dung môi nào có khả năng hòa tan hoàn toàn mẫu cần
phân tích. Nếu đã biết mẫu của mình hòa tan trong chất nào rồi, các bạn có thể
bỏ qua bước này.
-
Hòa tan 1000 ug mẫu vào 1 mL dung môi, thu được dung dịch có nồng độ 1000
ppm.
-
Pha loãng bậc 2 liên tiếp (two-fold
serial dilution) thành dãy các nồng độ khác nhau và dừng ở khoảng nồng độ từ 5 –
10 ppm.
Đối với mẫu phân tích dạng lỏng (dịch chiết):
-
Định lượng chất cần phân tích trong
dịch chiết và tùy theo chất của các bạn là loại hợp chất gì, sẽ có những phương
pháp định lượng khác nhau. Ví dụ, bạn có dịch chiết từ bắp cải tím và muốn phân
tích hoạt tính của hợp chất anthocyanin trong dịch chiết, bạn sử dụng phương
pháp “pH Vi Sai” để xác định dịch chiết ban đầu có hàm lượng anthocyanin là bao
nhiêu ppm.
-
Từ dịch chiết ban đầu, pha loãng bậc
2 liên tiếp (two-fold serial dilution) thành dãy các dịch chiết ở độ pha loãng
khác nhau (nên làm từ 7 – 10 lần pha loãng). Ở bước này, sử dụng dung môi tách
chiết mẫu để pha loãng mẫu.
-
Từ hàm lượng chất có trong dịch chiết
ban đầu, xác định hàm lượng chất cần phân tích trong dịch chiết ở mỗi bậc pha
loãng.
3.
Pha đối chứng
Nếu sử dụng đối chứng dương là vitamin C, pha dãy nồng độ từ 0 → 30 ppm, sử dụng dung môi là nước
(Vitamin C tan tốt trong nước)
Nếu sử dụng các đối chứng khác, cân 100 ug chất đối chứng và hòa tan trong dung môi, sau đó pha loãng bậc 2 về khoảng nồng độ 0 – 5 ppm.
Trong một giếng của đĩa 96 thêm lần lượt các thành phần sau:
· 100 μl mẫu phân tích/đối chứng/dung môi
·
100 μl DPPH 3 mM / methanol
→ Phản ứng 30 phút trong tối, đo mật độ quang tại bước sóng 750nm
Bảng bố trí thí nghiệm
|
|
Mẫu phân tích |
Mẫu trắng |
Mẫu đối chứng dương |
Mẫu đối chứng âm |
|
Dung
dịch DPPH |
x |
|
x |
x |
|
Mẫu phân tích |
x |
x |
|
|
|
Chứng dương
(Vitamin C) |
|
|
x |
|
|
Methanol |
|
x |
|
|
|
Dung môi |
|
|
|
x |
Phần trăm gốc tự
do DDPH﮲ được tính
theo công thức:
Chú thích
SCDPPH﮲ : Khả năng bắt gốc
tự do DDPH﮲ (%)
As : Độ hấp thu quang của mẫu phân tích
Ab : Độ hấp thu quang của mẫu trắng
An : Độ hấp thu của mẫu đối chứng âm
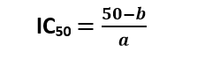
Tính giá trị IC50 của mẫu thử và mẫu đối chứng dựa vào phương trình tuyến tính giữa nồng độ và % hoạt tính bắt gốc tự do của chúng, theo công thức sau:
Chú thích
IC50 : Nồng độ mẫu thử, chuẩn có thể bắt được 50% gốc tự do DDPH﮲
a, b : Lần lượt là độ dốc và hệ chắn của phương trình tuyến tính giữ nồng độ và % bắt gốc tự do.
Mẫu được thực
hiện lặp lại ba lần và kết quả được biểu diễn dưới dạng giá trị trung bình ±SD
Có thể pha tùy ý nồng độ DPPHᐧ, chỉ cần đảm bảo gốc DPPHᐧ trong phản ứng luôn dư. Mặc dù vậy, mình không khuyến khích các bạn pha dung dịch DPPH ở nồng độ quá cao, vì lúc này màu của dung dịch DPPH rất đậm, có thể khó quan sát sự thay đổi của màu sắc trước và sau phản ứng trong một số trường hợp.
Dung dịch DPPH nhạy cảm với ánh sáng, dễ bị oxy hóa, vì vậy các bạn không nên pha quá nhiều, nếu pha dư có thể bảo quản ở nhiệt độ lạnh và bọc kín giấy bạc để tránh ánh sáng, và sử dụng sau 1-2 ngày, không nên dùng khi đã để quá lâu hoặc quan sát thấy màu sắc nhạt đi so với ban đầu.
Mẫu đối chứng âm là mẫu quan trọng, các bạn nên lặp lại nhiều lần mẫu này trong một mẻ thí nghiệm (trên 3 lần) để có thể có số liệu chính xác nhất.
Mẫu trắng cần thiết trong trường hợp chất phân tích của bạn có màu, đặc biệt là những chất có màu sắc gần giống với màu của dung dịch DPPH (anthocyanin, astaxanthin,... ). Đối với trường hợp mẫu không màu và trong suốt, các bạn có thể bỏ qua mẫu trắng.
Mẫu phân tích cần được hòa tan hoàn toàn, nếu là dịch chiết thì dịch chiết cần đồng nhất và không có cặn bẩn. Nếu cần thiết, các bạn có thể sử dụng filter 0.45 um để lọc mẫu trước khi phân tích.
Dung dịch sau phản ứng để đo OD cần đồng nhất, không có bọt khí (dễ xảy ra khi làm mẫu vitamin C). Trong trường hợp này có thể dùng đầu tip hoặc tăm để khuấy nhẹ, loại bỏ bọt khí.
Khi thêm các thành phần phản ứng vào đĩa 96 hoặc ống nghiệm, dung dịch DPPH cần được thêm sau cùng, và đảm bảo tránh ánh sáng nhiều nhất có thể. Đối với đĩa 96 các bạn có thể cố gắng thao tác nhanh. Đối với ống nghiệm, các bạn có thể bọc lại bằng giấy bạc. để phản ứng diễn ra ở nới không có ánh sáng. Sau thời gian phản ứng, kết quả cần được đo ngay, không để lâu ngoài ánh sáng.
Phần kết quả, các bạn có thể nhập vào excel và tính toán thủ công theo công thức mình đã trình bày, hoặc có thể sử dụng một số phần mềm thông dụng để có được kết quả nhanh hơn nhé. Ở đây, mình đề xuất một phần mềm quen thuộc là Graphpad Prism.
1.
Blois MS. Antioxidant determinations by the use of a stable free radical. Nature.
1958;181(4617):1199.
2.
Kedare SB, Singh R. Genesis and development of DPPH method of antioxidant
assay. Journal of food science and technology. 2011;48(4):412-422.
